SAHİBİNDEN ARNAVUTKÖY DURSUNKÖY ESKİ EDİRNE ASFALTI CADDESİNE CEPHE 236 M² TARLA

1.000.000
%15
İlan No 14169
İlan Tarihi 20 Şubat 2026
Seri Arsa
Durumu Satılık
Taşınmaz Niteliği Tarla
Metrekare 236
Metrekare Fiyatı 4.237
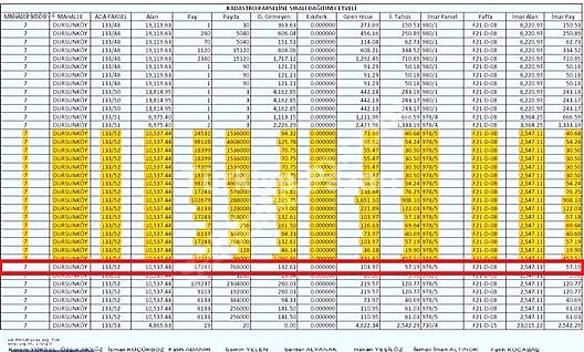
Ada No 133
Parsel No 52
Kaks & Emsal 0.50
Tapu Durumu Hisseli Tapu
Kat Karşılığı Hayır
Kimden Sahibinden
Krediye uygun Krediye Uygun Değil
Takas Takassız
Görüntülü Aranabilir Evet

Karşılaştırma yapabilmek için en az 2 ilan ekleyiniz

SAHİBİNDEN ARNAVUTKÖY DURSUNKÖY ESKİ EDİRNE ASFALTI CADDESİNE CEPHE 236 M² TARLA

Fotoğraflar yükleniyor

Zemin artı üzeri 3 katlı toplamda 12.50 metre yükseklikte 4 Kat imarlı tarladan 10.537 m² tarladan 236 m² hissemiz tek tapu satılıktır. 

Ada No133

Parsel No52

Altyapı
Konum
Genel Özellikler
Manzara
%15
Kredi Hesapla
Kredi Hesapla

Karşılaştırma yapabilmek için en az 2 ilan ekleyiniz

%15

Güvenlik İpuçları

Satıcıyla yüz yüze görüşmeden ve ürünü görmeden yapılan alışveriş işlemlerinin riskli olduğunun bilinciyle hareket ederek para göndermeyin.

Yine aynı şekilde ürünü görmeden kapora için para gönderilmesi taleplerini kabul etmeyin.

Tanımadığınız kişilere TC kimlik numarası, cep telefonu ve kart numaraları kullanılarak yapılabilen para transferleri işlemlerini gerçekleştirmeyin.

Gayrimenkul satışı için para ödemesini Noter huzurunda veya Yetkili Kuruluşlar nezdinde aynı anda yapın.




Yorum Yap

Yorum yapabilmek için lütfen giriş yapın veya üye olun.